Science & Fun | Startseite |  Einführung in die 1H NMR Spektroskopie

125c

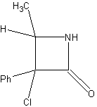
Ordnen Sie den 1H-NMR-Spektrum die richtige Verbindung zu!

a) b)
Lösung A Lösung b
d = 0,81 ppm (Irel. = 3, Dublett, J = 6,4 Hz)
d = 4,19 ppm (Irel. = 1, Quartett, J = 6,4 Hz)
d = 7,40 ppm (Irel. = 6, Multiplett)


Vergleichen Sie Ihre Lösung hier!