Science & Fun | Startseite |  Einführung in die 1H NMR Spektroskopie

125

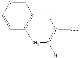
Ordnen Sie den 1H-NMR-Spektrum die richtige Verbindung zu!

a) Lösung A b) Lösung B
Spektrum


Vergleichen Sie hier!